色差儀(yi) CIE94計算公式是基於(yu) CIELAB顏色空間,用於(yu) 評估顏色差異的公式。其完整名稱是“CIE 1994(∆L*、∆Cab、∆Hab)色差模型”,縮寫(xie) 為(wei) “CIE94”或色差符號∆E*94。

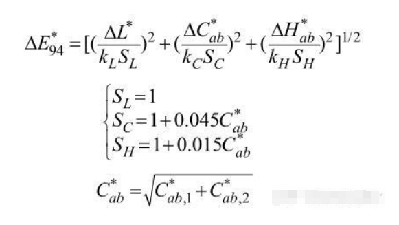
CIE94色差公式是CIE於(yu) 1994年推薦的一種色差計算公式,它對CIELAB色差公式進行了進一步的修正和改進。CIE94色差公式通過引入權重因子KL、KC、KH,以調整明度、彩度和色調在總色差中的相對權重,從(cong) 而提高了色差評價(jia) 的準確性。

IE94色差公式實際上就是CMC(1:c)的一個(ge) 修正版,它的優(you) 點在於(yu) :探討了色差距離的均勻性和參量對知覺色差的影響,應用加權函數校正CIELAB空間的均勻性,與(yu) 此同時定義(yi) 一組基本條件,在基本條件下應用時無需對參量效應校正。推薦草案改進CIELAB空間的均勻性獲得了預期的成功,而且該色差公式加權函數比△FMC-2和△ECMC色差公式簡單得多。因此,CIE94色差公式在紡織工業(ye) 中已經得到了廣泛地應用。
掃一掃谘詢微信客服