色度計及其三色過濾係統具有固有的局限性。簡而言之,過濾檢測器進行 CIE 顏色匹配並不容易。實際上,您正在使用單獨的濾光片來獲取光並分離三種顏色波長(寬帶)。此外,這 3 個(ge) 濾光片通常是從(cong) 單個(ge) 多色濾光片切割而成的。這種多色濾光片通常在切割前進行塗層處理。但是塗層並不總是均勻地分布在整個(ge) 表麵上,並且可能會(hui) 導致單個(ge) 零件的更多不一致。

畢竟,您必須從(cong) 3種顏色中獲取數據並將它們(men) 重新組合在一起以到達顏色圖上的一個(ge) 點。
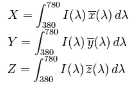
光譜儀(yi) 不使用過濾。這意味著沒有單獨的顏色處理。它將許多波長切割成一個(ge) 完整的光譜,非常適合 CIE 顏色匹配算法。簡而言之,它是一個(ge) 簡單明了的係統。
為(wei) 了更量化地查看差異,該行業(ye) 使用 f1' 度量來衡量精度差異。f1' 是與(yu) CIE 函數的不匹配百分比。

光譜儀(yi) :f1′<1%
色度計:f1′<4-5%
光譜儀(yi) 本質上更準確,對許多行業(ye) 至關(guan) 重要。然而,為(wei) 了尊重色度計,它們(men) 多年來隨著更好的技術(四色矩陣、更好的精密濾光片和改進的 CCD 技術)而發展。總而言之,準確性對於(yu) 檢查目的實際上是相當好的。簡單和低廉的價(jia) 格證明它對於(yu) 許多人來說仍然是一個(ge) 謹慎、實用的選擇。
掃一掃谘詢微信客服